
As coronavirus cases continue to grow, we are still trying to do our part to help "flatten the curve" and protect the health and safety of our staff and our community. We have setup this dedicated page on our website where we share resources that may be of value to you. As we continue to monitor COVID-19 we will update this page and our Facebook frequently with current information.
COVID-19 Vaccines
Orange County Immunization Clinic - 1502 Strickland Drive Orange, TX 77630 (409-550-2536)
Monday - Friday, by appointment only

A Message of HOPE...
Click the image below to see a video of some of our local nonprofits.
Links to Helpful and Reliable Resources
- Centers for Disease Control and Prevention (CDC)
- American Psychiatric Association (APA)
- World Health Organization (WHO)
- Substance Abused and Mental Health Services Administration (SAMHSA)
- National Alliance on Mental Health (NAMI)
- Call Centers and Hotlines If you are experiencing high levels of stress, anxiety or depression, reach out for support.
- Crisis Text Line: Text 741741
- National Suicide Prevention Lifeline: 1-800-273-8255
Additional information and resources...




Texas Health and Human Services encourages all Texans in need of COVID-19 information and referrals
to community resources to call the 2-1-1 Texas hotline 24 hours a day, 7 days a week.


The OCEDC has created a Business Toolkit for businesses needing resources during the COVID-19 pandemic. Please reference this publication for assistance and contact our office for more information.
https://orangecountyedc.com/…/uploads/Business_Toolkit_COV
Viral Facebook Post about United Way Funding (from United Ways of Texas)
A posting has gone viral about a United Way fund providing direct financial assistance to those affected by COVID-19. Thanks to the philanthropic community in Indianapolis, a COVID-19 fund was set up just for individuals in that community.
Please disregard any social media post directing people to call a 1-866 number for assistance from "The United Way COVID-19 Fund" as this relates to the Indianapolis fund and goes to Indiana 211. If you need assistance related to COVID, please call 211 to be connected to resources in your own community.
UWT is in the process of setting up a page with links to all Texas COVID-19 United Way funds. We will post the link when it is live.
Orange County Annoucements
Disaster Declaration (click here)
Press Release - 1st Positive Case of Coronavirus in Orange County (click here)
March 24th Daily Briefing
BEAUMONT, Texas – The following information from the Southeast Texas Regional Emergency Operations Center summarizes activities and developments related to COVID-19 in Hardin, Jasper, Jefferson, Newton and Orange counties:
Positive for COVID-19 – 9 total
· Beaumont – 6
· Lumberton – 1
· Silsbee – 1
· Orange – 1
Total calls received by Call Center – 648
· 107 have been referred for testing (since call center opened on 3/20)
· 14 tested at drive-through site today
· Tests are averaging about 5 minutes per patient
The Call Center will continue to be open from 8:00 am to 5:00 pm, Monday through Friday. If you are experiencing symptoms (fever, dry cough, shortness of breath) or you believe you have been exposed to an infected individual, you can call 409-550-2536 to be evaluated for testing.
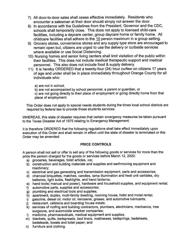
Second Amended Emergency Order




Third Amended Emergency Order







Protocol for COVID-19 Testing (from Orange County Emergency Management)
There has been conflicting information shared about testing for COVID-19.
First priority is to make sure a person calls their primary care physician or the medical facility they choose to use. Let them know your symptoms and find out what protocol they are using for medical facility entrance. We discourage persons from sitting in waiting rooms exposing others to ANY illnesses. You will be tested for flu, strep and other illnesses before going directly to COVID-19 testing. This will alleviate random panic testing and overuse of resources. This is allergy season and we still have people testing positive for various flu strands.
If you have been exposed to someone who has tested positive for COVID-19, but do not have symptoms, you should self-quarantine for 14 days and take your temperature twice a day. Always err on the side of caution.
Important update for workers in Texas who are impacted by COVID-19
Learn more and get updates by visiting:
https://twc.texas.gov/news/unemployment-news
COVID-19 Texas Unemployment Benefit News
You can now get paid #Unemployment Insurance Benefits sooner.
The Office of the Governor Greg Abbott has waived the waiting week, allowing the #Texas Workforce Commission to pay your UI benefits sooner during #COVID19. Find out more at https://twc.texas.gov/news/twc-waives-certain-requirements-unemployment…

Notice About Drivers Licenses and Other Forms of ID
Governor Abbott has directed the Texas Department of Public Safety to temporarily waive all expiration dates for driver licenses, commercial licenses, and other identification forms. Please do not try to renew your licenses at this time and remain diligent in distancing yourself from large groups.
Waiving certain vehicle registration, titling, and parking placard regulations in Texas (from the Office of the Govenor)
TX continues to implement a comprehensive plan to mitigate the spread of COVID-19 – including strategies to reduce preventable in-person contact.
###
No STARR testing this school year (from the Office of the Govenor)
Governor Abbott has announced he is waiving the State of TX Assessments of Academic Readiness (STAAR) testing requirements for the 2019-2020 school year. Additionally, he is requesting that the Department of Education waive federal testing requirements for the 2019-20 school year.
Stop the Spread
COVID-19 Symptoms vs. Flu and Cold

7 Steps to Prevent the Spread of COVID-19

Maintaining Normalcy (from Samaritan Counseling Center of Southeast Texas)

CDC
Older adults and people with disabilities and underlying medical conditions can experience more stress and anxiety during the COVID-19 outbreak than other people. Find ways to reduce your stress and anxiety:
• Take breaks from watching, reading, or listening to news stories, including social media.
• Make time to unwind and do activities you enjoy.
• Connect with family and friends by phone, text, or email.
• If you or a loved one is feeling overwhelmed, get support 24/7 by calling 1-800-985-5990 or text TalkWithUs to 66746.
Learn more about stress and coping during the COVID-19 outbreak: https://bit.ly/39UVoEj
Save the Children
Here's a link to resources to help children and families during this uncertain time.
https://www.savethechildren.org/us/what-we-do/emergency-response/coronavirus-outbreak/resources
Orange County Past Updates...
April 26, 2022

April 19, 2022

March 22, 2022

March 1, 2022

February 22, 2022

February 15, 2022

February 8, 2022

February 1, 2022

January 25, 2022

January 18, 2022

January 11, 2022

January 4, 2022

December 28, 2021

December 14, 2021

November 30, 2021

November 23, 2021

November 16, 2021

November 2, 2021

October 26, 2021

October 19, 2021

October 12, 2021

October 5, 2021

September 28, 2021

September 21, 2021

September 14, 2021

September 7,2021

August 31, 2021

August 24, 2021

August 18, 2021
August 8, 2021
June 8, 2021

May 25, 2021

May 18, 2021

May 11, 2021

April 27, 2021

April 20, 2021

April 13, 2021

April 6, 2021

March 30, 2021

March 23, 2021

March 16, 2021

March 8, 2021

March 3, 2021

February 24, 2021

February 17, 2021

February 10, 2021

February 3, 2021

January 27, 2021

January 20, 2021

January 13, 2021

January 6, 2021

December 30, 2020

December 23, 2020

December 16, 2020

December 9, 2020

November 30, 2020

November 25, 2020

November 17, 2020

Novemer 10, 2020
November 3, 2020

October 28, 2020

October 21, 2020

October 14, 2020

October 7, 2020

September 23, 2020

September 9, 2020

August 19, 2020

August 12, 2020

August 6, 2020

July 29, 2020


July 22, 2020


July 15, 2020


July 8, 2020


July 1, 2020


June 23, 2020


June17, 2020


June 12, 2020


June 3, 2020


May 28, 2020


May 20, 2020


May 19, 2020


May18, 2020


May15, 2020


May 14, 2020


May 13, 2020


May 12, 2020


May 11, 2020


May 8, 2020


May 7, 2020


May 6, 2020


May 5, 2020


May 4, 2020


May 3, 2020


May 2, 2020


May 1, 2020


April 30, 2020


April 29, 2020


April 28, 2020


April 27, 2020


April 26, 2020


April 25, 2020


April 24, 2020


April 23, 2020


April 22, 2020


April 21, 2020


April 20, 2020


April 19, 2020


April 18, 2020


April 17, 2020


April 16, 2020


April 15, 2020


April 14, 2020


April 13, 2020


April 12, 2020


April 11, 2020


April 10, 2020


April 9, 2020

April 8, 2020

April 7, 2020

April 6, 2020

April 5, 2020

April 4, 2020

April 3, 2020

April 2, 2020

April 1, 2020

March 31, 2020

March 30, 2020

March 29, 2020

March 28, 2020

March 27, 2020




